Colectivo Graca

Sitio Web mantenido por Maicoliv desde el 25 de Enero de 2009



Sección de Matemáticas

La teoría

Cuatro problemas para cuatro operaciones con fracciones

Un problema que se resuelve restando dos fracciones

Una botella contenía tres cuartos de litro de agua.
Me bebí dos tercios de litro.
¿Cuántos litros quedan?

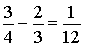
Planteamos el problema:
(Contenido Inicial) - (Contenido Extraído) = (Contenido Final)

Tomamos los datos:
El contenido inicial =
El contenido extraído =

Sustituimos los datos:


Interpretamos geométricamente la operación para hallar la respuesta:

Pulsa aquí para ver la animación.
Si aparece un mensaje de error, pulsa en la barra dorada que podrás encontrar en la parte superior para permitir que el navegador ejecute el contenido bloqueado


El resultado de la operación:


La respuesta a la pregunta formulada:
"La botella ahora contiene de litro"